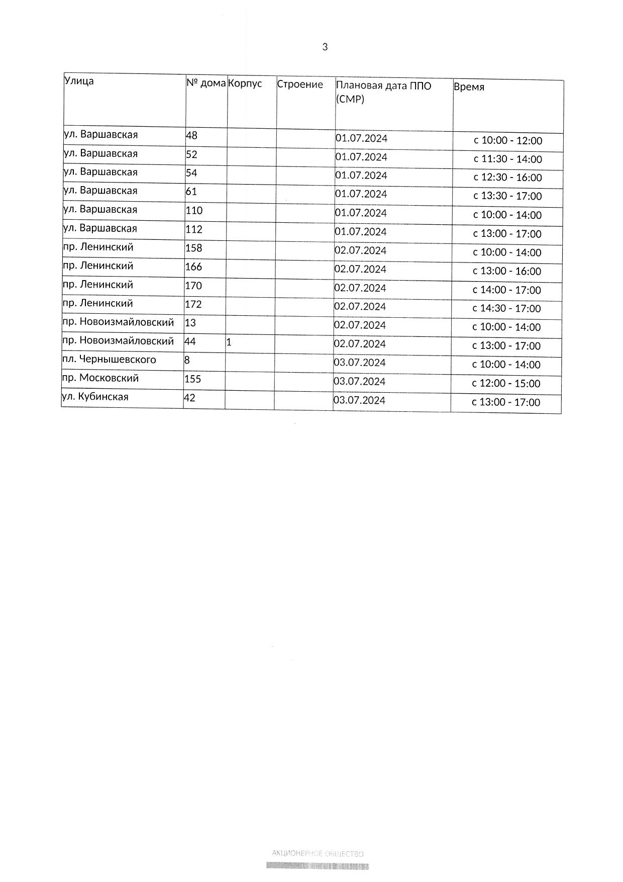
Отключении электроэнергии с 01.07.2024 г. по 03.07.2024 г. в связи с работами АО «Петербургская сбытовая компания» по замене узлов учёта в многоквартирных домах по адресам: Варшавская ул., Новоизмайловский пр., пл. Чернышевского, Московский пр, Кубинская ул.








